Добавка 1. Програмування математичних задач
Завдання.
1. Задачі для додаткових завдань можна брати будь-які із методичних вказівок Дюженкова О.Ю. "Практикум з вищої математики".
Їх захист тільки на консультації є обов'язковим!
Фрагмент виконання


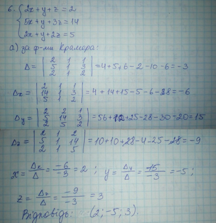
Приклади виконання:
- 11 грудня 2020, 10:37
Шрифти
Розмір шрифта
Колір тексту
Колір тла
Кернінг шрифтів
Видимість картинок
Інтервал між літерами
Висота рядка
Виділити посилання
Text Alignment