Визначення поняття «система»

Фундаментальним поняттям системного аналізу і таких засадних теоретичних дисциплін, як теорія систем, кібернетика, дослідження операцій, є поняття «система». Незважаючи на інтуїтивну зрозумілість та велику важливість цього терміна для наукових досліджень, донині не існує загальноприйнятого його визначення.

Огляд різних трактувань поняття «система» показує, що можна виділити такі основні пов’язані з ним змістові аспекти:

  • найпоширенішим, але й найвужчим є «інженерне» розуміння системи як взаємозв’язаного набору елементів та способів їх з’єднання, які слугують певній меті;
  • у «конструкторському» розумінні «система» подається як проектування та створення певного комплексу методів і засобів, які дослідник або розробник застосовує для досягнення певної мети, для виконання свого завдання;
  • в науково-дослідницькому трактуванні «система» уявляється як загальна методологія дослідження процесів і явищ, що відносяться до певної галузі людських знань;
  • у теоретико-пізнавальному аспекті «система» розуміється як спосіб мислення.

У науковій літературі є багато визначень поняття «система», що відносяться як до загальних, так і до конкретних систем різних видів.

У перших визначеннях у тій чи іншій формі зазначалось, що система — це елементи та зв’язки між ними. Так, наприклад, основоположник теорії систем Людвіг фон Берталанфі визначав систему як комплекс взаємодіючих елементів, що перебувають у певних відношеннях між собою та зовнішнім середовищем.

Пізніше при визначенні цього терміна стало з’являтися поняття цілі. Так, у філософському словнику система визначається як «сукупність елементів, що знаходяться у відношеннях та зв’язках між собою певним чином та утворюють деяку єдність цілей». Останнім часом при визначенні системи поряд із елементами, зв’язками, їх властивостями та ціллю почали включати спостерігача, хоча на необхідність врахування взаємодії між дослідником та досліджуваною системою вказував ще один із основоположників кібернетики У.Р.Ешбі.

Зауважимо, що у різних визначеннях поняття «система» є багато спільного та взаємно доповняльного, тому краще використовувати найширше з них:

  • наявність об’єкта, який являє собою множину підоб’єктів (або наявність множини об’єктів, які можуть розглядатися як один складний об’єкт);
  • наявність суб’єкта дослідження, який називається спостерігачем;
  • наявність завдання, яке визначає відношення спостерігача до об’єкта і є критерієм, за яким здійснюється відбір об’єктів та їх властивостей;
  • наявність зв’язку між об’єктом, спостерігачем та завданням, що виражається у наявності певної мови описування.

Перші три умови утворюють єдність, що забезпечується наявністю мови, в якій проявляється їх взаємозв’язок. Це схематично показано на рис. 1.

Рисунок 1 - Умова існування системи

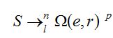
Тоді формально визначення системи можна виразити символами:

де S — система, n — спостерігач, l — мова описування, p — завдання, e — множина підоб’єктів, r — множина відношень між ними,  — оператор відображення.

У такий спосіб система S буде являти собою відображення властивостей підоб’єктів e та їх відношень r для n по p в l.

У теоретико-пізнавальному аспекті можна виділити три можливі аспекти розгляду систем:

1)   система розглядається як взаємопов’язаний комплекс матеріальних об’єктів (такий підхід зручний, головно, при дослідженні природних об’єктів або процесів матеріального виробництва);

2)   система включає, з одного боку, набір матеріальних об’єк­тів, а з іншого — інформацію про їхній стан (такий підхід застосовується при описуванні процесів управління матеріальним виробництвом);

3)   система розглядається чисто в інформаційному аспекті як комплекс відношень, зв’язків, інформації (такий підхід прийнятий у теоретичних дослідженнях, за описування соціальних відносин та процесів управління).

Кожний із цих підходів потребує відповідного специфічного наукового інструментарію для розв’язання трьох різних видів завдань.

Системи оточують нас всюди: кожний предмет, явище, процес — це системи. Наприклад, системами є живі організми, технічні пристрої тощо. Безумовно, системами є фірми, корпорації, організації, банки, галузі економіки та вся економіка в цілому.

Розглянемо інші основні поняття, які використовуються при дослідженні систем.

Підсистемою називають сукупність елементів, які об’єднані єдиним процесом функціонування та при взаємодії реалізують певну операцію, що необхідна для досягнення поставленої перед системою в цілому мети. Надсистемою називають ширшу систему, в яку входить досліджувана система як складова частина.

Елементом системи називають її частину, яка виконує специфічну функцію і є неподільною з погляду завдання, що розв’язується. Внутрішня структура елементів не є предметом системного аналізу. Важливі лише властивості елемента, які визначаються його взаємодією з іншими елементами системи та справляють вплив на поведінку системи.

Слід зауважити, що поділ системи на елементи та саме поняття елемента є певною мірою відносними й умовними.

Між елементами довільної системи та між різними системами існують зв’язки, за допомогою яких вони взаємодіють між собою. Ці зв’язки можуть виражатися в обміні речовиною, енергією чи інформацією між взаємодіючими системами або елементами. Система може мати зовнішні та внутрішні зв’язки. Зв’язки можуть бути також як прямими, так і зворотними.

Системи мають зовсім нові якості, які відсутні у її елементів. Ці якості виникають саме завдяки наявності зв’язків між елементами. Саме за допомогою зв’язків здійснюється перенесення властивостей кожного елемента системи до інших елементів.

Зворотні зв’язки є складною системою причинної залежності та полягають у тому, що результат попередньої дії впливає на наступний перебіг процесу в системі: причина підпадає під вплив зворотного впливу наслідку. Якщо зворотний зв’язок підсилює результат впливу наслідку, то його називають позитивним, а якщо послаблює — негативним. Негативні зворотні зв’язки сприяють збереженню стійкості системи. Тільки завдяки наявності зворотних зв’язків у системах можуть відбуватися процеси цілеспрямованої діяльності та регулювання.

Зв’язки перетворюють систему з простого набору компонентів у єдине ціле і разом з компонентами визначають стан та структуру системи, безумовно при визначальному впливі функції.

Важливими для описування систем є поняття структури та ієрархії.

Під структурою системи розуміють її стійку впорядкованість та зв’язки між елементами і підсистемами. Структура відбиває найсуттєвіші зв’язки між елементами та підсистемами, які мало змінюються при змінах у системі та забезпечують існування системи і найважливіших її властивостей. Для визначення структури системи необхідно провести її послідовну декомпозицію, тобто виділити в ній підсистеми всіх рівнів, доступних аналізу, та їх елементи, які відповідно до завдань дослідження не поділяються на складові частини. Завдяки ієрархічності структура складних систем може бути подана через структуру їх частин — від підсистем до елементів.

Структуру системи можна зобразити графічно, у вигляді опису, матриць або іншими способами. Так, в організаційних системах часто зустрічаються лінійні, матричні, деревоподібні структури (рисунок 2).

Рисунок 2 - Графи, що відповідають матричній (а), лінійній (б),
деревоподібній структурам

 Під ієрархією системи розуміють розташування її підсистем або елементів за певним порядком від вищого до нижчого.

Головним системоутворювальним фактором є її функція. Існує кілька поглядів з приводу того, що являє собою функція системи. Так, під функцією системи можна розуміти перетворення її входів у виходи. З іншого погляду функція системи може полягати у збереженні її існування, підтримці її структури та впорядкованості. Іноді функцію системи ототожнюють із функціонуванням цієї ж системи, визначаючи її як спосіб, засіб або як дії для досягнення цілі системи.

Системи функціонують у певному зовнішньому середовищі.

Зовнішнє середовище — це все те, що знаходиться зовні системи, включаючи необхідні умови для існування та розвитку системи. Зовнішнє середовище складається із ряду природних, су­спільних, інформаційних, економічних, виробничих та інших факторів, що впливають на систему та самі певною мірою перебувають під впливом цієї системи.

Взаємодія між системою та зовнішнім середовищем здійснюється за допомогою входів та виходів.

Вхід системи — це дія на неї зовнішнього середовища.

Вихід системи — результат функціонування системи для досягнення певної мети або її реакція на вплив зовнішнього середовища. Загальна кількість взаємодій системи з зовнішнім середовищем дуже велика, тому на практиці обмежуються аналізом найсуттєвіших зв’язків, вибір яких визначається конкретними умовами управління тим чи іншим об’єктом.

Окрім функції система може мати ціль.

Ціль системи — це бажаний стан її виходів. Системи, що мають ціль, називають цілеспрямованими. Будь-які соціально-економічні системи є цілеспрямованими, бо їх елементами є люди. Отже, у загальному вигляді систему (з контуром зворотного зв’язку) можна зобразити графічно у такий спосіб (рисунок 3):

 

Рисунок 3 - Графічне зображення системи

Стан системи характеризується кількісними та якісними значеннями внутрішніх параметрів (змінних) системи в даний момент. Функціонування системи або зміну станів системи у часі називають поведінкою або рухом. Отже, поведінка системи — це розгорнута у часі послідовність реакцій системи на внутрішні зміни та зовнішній вплив.

Рівновага — це здатність системи зберігати свій стан як можна довше (як за відсутності, так і за наявності зовнішніх збурюючих впливів).

Під стійкістю розуміють здатність системи повертатися в стан рівноваги після виведення її з цього стану впливом зовнішніх збурень. Стан рівноваги, у який система здатна повертатися, називають стійким станом рівноваги.

Важливе значення в системному аналізі має поняття управління. Управління системою необхідне для забезпечення її ціле­спрямованої поведінки при зміні умов зовнішнього середовища або умов її функціонування. Управління досягається за рахунок відповідної організації системи, під якою розуміють її структуру та спосіб функціонування. Системи з управлінням називають кібернетичними системами.

Взаємодія системи з зовнішнім середовищем свідчить, що середовище надає системі ресурси, а одержує від неї та споживає продукти кінцевої діяльності системи (ПКД). ПКД не можуть бути створені в середовищі (принаймні в достатній кількості), оскільки за таких умов нема необхідності виділяти систему із середовища. Система необхідна середовищу для задоволення деяких своїх потреб в її кінцевих продуктах. Тому можна зробити висновок, що до створення нових систем спонукає наявність незадоволених потреб, або, інакше кажучи, система створюється для вирішення деякої проблемної ситуації.

Отже, об’єктивною основою формування системи є проблемна ситуація, тобто такий незадовільний стан елементів зовнішнього середовища, який середовище власними засобами (сукупністю систем зовнішнього середовища) на даному етапі не в змозі нормалізувати.

Доступність

Шрифти Шрифти

Розмір шрифта Розмір шрифта

1

Колір тексту Колір тексту

Колір тла Колір тла

Кернінг шрифтів Кернінг шрифтів

Видимість картинок Видимість картинок

Інтервал між літерами Інтервал між літерами

0

Висота рядка Висота рядка

1.2

Виділити посилання Виділити посилання

Вирівнювання тексту Вирівнювання тексту

Ширина абзацу Ширина абзацу

0